麻豆影视

科研成果

中国地区长时序AVHRR气溶胶数据的主要问题:气溶胶反演频次与重污染天气

作者: 来源: 阅读次数: 日期:2020-09-03

1. 标题

中国地区长时序AVHRR气溶胶数据的主要问题:气溶胶反演频次与重污染天气

A critical view of long-term AVHRR aerosol data record in China: Retrieval frequency and heavy pollution

 

2. 成果信息

Minghui Tao, Rong Li, Lili Wang et al. 2020A critical view of long-term AVHRR aerosol data record in China: Retrieval frequency and heavy pollution.Atmospheric Environment 223117246

DOI10.1016/j.atmosenv.2019.117246

本研究得到国家自然科学基金(资助项目418301094187126241601472)的资助

3. 团队成员

陶明辉,教授,麻豆影视 (武汉)麻豆影视 ,博士生导师,主要研究方向为大气环境遥感。(邮箱:[email protected]

冯岚,副教授,麻豆影视 (武汉)麻豆影视 ,主要研究方向为气候变化与大气遥感。

陶金花,副研究员,中国科学院遥感与数字地球研究所,遥感科学国家重点实验室,主要从事大气遥感机理、大气遥感与模式集成方法以及大气遥感定量反演系统技术方面的研究。

车慧正,研究员,中国气象科学研究院大气化学重点实验室,博士生导师,主要从事大气气溶胶理化特征观测、光学特性遥感以及气溶胶气候效应等方面的研究。

陈良富,研究员,中国科学院遥感与数字地球研究所,遥感科学国家重点实验室,博士生导师,主要研究方向为大气环境遥感。

 

4. 成果介绍

1研究背景及意义:

大气气溶胶与太阳辐射和成云降雨联系紧密,是气候系统中的关键因素之一。而由于大气气溶胶来源多样、寿命短,因此评估在气候变化和空气质量的作用时,时空分辨率的连续和长期气溶胶精确数据记录必不可少。近期深蓝(DB)气溶胶算法应用于提供近四十年连续测量的AVHRR传感器上,其在地面验证方面表现出较为可靠的准确性,以及与MODIS在时间序列变化方面具有一致性。但是由于反演频次的差异,不同传感器的卫星气溶胶产品仍然存在相当大的不确定性以及对重污染的敏感性

 

(2)研究方法

   本研究AERONETCARSNET6个站点结合,评估AVHRR DB反演在中国典型地表类型中的表现此外,为检验AVHRR气溶胶反演产品主流卫星气溶胶产品的一致性,还与已被证实具有良好量化精度C6.1 Aqua MODISV004 SeaWiFS DB产品进行比较

 

(3)实验结果

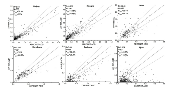
结合图1可知,AVHRR反演往往会出现中低值(< 0.5)高估和高值低估的情况,如对中国西部沙漠反演的较大低估表明:使用具有较少波段的AVHRR进行反演会导致对干净明亮的地表不敏感;在城乡地表类型混合的河地区,低AOD(<0.5)条件下出现明显高估;而从典型污染天气的反演对比中(图2)可以看出,AVHHR反演几乎滤除了广泛分布的所有雾霾

 

 

1AVHRR和地面站点550nm AOD对比

 

2a),e) Aqua MODIS真彩色图像;  b),f) MODIS DB AOD;  c),g) AVHRR AOD;  d),h) SeaWiFS AOD, 分别于200723日和20081018日在中国东部地区上空

 

3较低的年AOD值和反演频次表明,AVHRR过于严格的云筛选漏掉了大部分高AOD和较亮的地表条件;而对比2009-2011年质量较好的AVHRRMODIS年均AOD(图4),也说明云筛选和反演的不同经验阈值对两者一致性有很大影响。

 

 

32007年所有质量的AVHRR(a)SeaWiFS(b)MODIS DB(c)的年平均AOD和反演频次

 

 

42009 - 2011AVHRR反演的年均AODMODIS DB比较

 

 

20世纪90年代初重霾事件随着中国东部地区人为排放的增加而增加(图561990年华北地区AOD年平均约为0.5-0.6,分布较为均匀,极值较少,1995-1999年以来AOD高热点显著,在0.8-0.9之间。与1995-1999AOD高热点突出的气溶胶空间分布不同,1990年华北气溶胶分布较为均匀,表明排放水平和来源不同。

 

 

51989 - 2018年北京市AVHRRSeaWiFSMODIS DBAERONET AOD月平均()AVHRRMODIS DB AOD平均()

 

 

 

61990年和1995-1999AVHRR DB AOD年平均

 

 

(4)结论

本文研究发现,较少波段的AVHRR经过DB算法严格的云筛选往往会滤除掉高AOD和清洁明亮的地表,且反演频次对多种卫星DB气溶胶产品的一致性有显著影响。AVHRR AOD的时间序列变化表明,20世纪90年代初是中国东部地区雾霾污染频繁出现和增加的关键时间点。因此AVHRR气溶胶产品的完整记录和相应的改进可以极大地更新对我国气溶胶的认识。